1 主題內容與適用范圍
本標準規定了船舶甲板部航海資料與圖書、無線電通信、有關設備、載裝、油船補充要求、航線擬定等安全開航技術要求。
本標準適用于1600GT及以上或柴油機推進功率為3000kW及以上的航行于各類航區的海上運輸船舶。等同的海上非運輸船舶亦應參照執行。
本標準不適用于因自然災害、應急或軍事等特殊原因須緊急開航的船舶。
2 引用標準
GB 11412.1 海上運輸船舶安全開航技術要求 總則
GB 11412.3 海上運輸船舶安全開航技術要求 輪機部
3 一般要求
3.1 船體構造和甲板部儀器、設備配置和技術要求均應符合中華人民共和國船舶檢驗局現行船舶規范的規定。
3.2 甲板部的安全開航檢查應符合GB 11412.1和GB 11412.3的規定。
3.3 主管船員按責任制規定,對船體及甲板部所管屬的機械、設備、儀器、航海資料、裝載等必須進行航前檢查或確認,并須填妥GB 11412.1,4.4條a.規定的核定表,其要求同GB 11412.1。
4 資料與圖書要求
4.1 應按規定將船舶主要操縱資料和技術數據懸掛在駕駛臺。
4.2 應將中華人民共和國交通部沿海港口信號規定和國際遇難求救信號圖表懸掛在駕駛臺。
4.3 必須配備有關航海海圖和航用書籍。
4.4 必須配備有關現行的航行、港口規章和有關航政法規圖書。
4.5 必須配備現行的有關船舶規范。
5 無線電通信要求
5.1 無線電通信設備配置和技術要求必須符合中華人民共和國船舶檢驗局頒布的《海船無線電設備規范》。
5.2 主、備用發射機
5.2.1 在500kHz和其他中頻、中高頻、高頻段上使用主、備用天線時,應有最佳輸出。
5.2.2 面板上各個單元的開關、指示和檢測功能應正常,J
3E上邊帶的發射工作應正常。
5.2.3 30s預熱延時、電流過載保護、自動調諧(已裝有的)和伺服功能均應正常。
5.3 主、備用接收機
5.3.1 主用接收機在375~27500kHz范圍內,使用主、備用天線接收A
1A、A
2A、H
2A、A
3E信號均應正常,接收上、下邊帶的H
3E、R
3E、J
3E信號均應正常。
5.3.2 面板控制及顯示功能和靈敏度應正常。
5.3.3 在100Hz以內的微調應正常。
5.3.4 主、備用接收機的前端過壓保護鍵控天線中斷功能應正常。
5.3.5 選擇性功能應正常。
5.4 甚高頻無線電話
5.4.1 面板上各種開關功能應正常,能使用1W輸出電平。
5.4.2 應能使用蓄電池電源工作。
5.5 應急發射機
5.5.1 在500kHz和2182kHz上使用主、備用天線時,應有最佳輸出。
5.5.2 檢測電壓和電流應符合額定值。
5.5.3 在500kHz上使用主天線最佳調諧能立即啟動,不經任何重調,便可發射。
5.5.4 頻率誤差應為:中頻不超過±0.05%;2182kHz不超過±40Hz。
5.6 應急接收機
5.6.1 應能在蓄電池正常電壓+10%或-15%情況下正常工作。
5.6.2 能用主、備用天線正常接收。
5.6.3 能在400~500kHz上接收A
1A、A
2A、H
2A信號;在2182kHz上接收H
3E、A
3E信號。
5.6.4 頻率誤差應為:中頻不超過±0.05%;2182 kHz不超過±50Hz。
5.7 救生艇電臺
5.7.1 手攜電臺的手搖發電機電源在500kHz、8864kHz上用A
2A或H
2A信號,在2182kHz上用A
3E或H
3E信號均能良好調配,輸出指示應正常。
5.7.2 機動艇電臺應符合下列要求:
a. 能保證全負荷連續工作6h和電臺照明;
b. 發射機使用艇桅天線,在500kHz、2182kHz、8364kHz上能正確匹配,輸出應正常。末級工作和天線輸出的電流均應正常,頻率穩定;
c. 根據發射機面板上調諧表,應不經重調,即能發射;
d. 接收機在規定的頻率上工作,能滿意地接收信號,靈敏度正常,頻率穩定;
e. 天線引入線的絕緣子應水密可靠。
5.8 自動報警和報警信號自動拍發裝置。
5.8.1 500kHz無線電報自動報警器應符合下列要求:
a. 自動報警器接收人工測試信號后,應能在無線電室、駕駛臺和無線電員臥室內同時報警;
b. 電源中斷時,應能報警。
5.8.2 2182kHz無線電話自動報警器(無線電話值班接收機)應符合下列要求:
a. 啟動內部測試電路4~6s后,應能終止靜噪功能,并發出1300Hz與2200Hz交替的無線電話報警、2200Hz航行警號、1300Hz應急無線電示位標等信號;
b. 電源中斷時,應能報警及人工復位。
5.8.3 無線電報報警信號自動拍發器應符合下列要求:
a. 自動拍發器與應急、主用發射機及無線電報自動報警器的鍵控接通和斷開功能,應迅速、準確、可靠,并能用24V(DC)工作;
b. 確認自動拍發器產生的遇險信號,應能按正確的時間關系發出;
c. 能重復拍發,每次重復應有5s以上間隔。
5.8.4 無線電話報警信號發生器應符合下列要求:
a. 經試驗證實無線電話報警信號發生器應能在周期間隔為30~60s內,連續交替地產生1300Hz和2200Hz的無線電話報警信號或單獨地產生2200Hz航行警告信號;
b. 單獨設置的信號發生器的輸出,應能與應急和主用發射機可靠地鍵控轉換接通或斷開,并能用24V(DC)工作;
c. 信號發生器的監聽作用應正常。
5.8.5 2182kHz無線電示位標應符合下列要求:
a. 應能在2182kHz上斷續地按A
2A或H
2A信號發射1300Hz的報警信號;
b. 確認電池的有效性。
5.9 天線
5.9.1 絕緣良好,拉索的接地可靠,結構和懸掛牢固。
5.9.2 絕緣電阻應為:一般天氣不小于10MΩ;高濕天氣不小于1MΩ。
5.10 蓄電池
在正常環境溫度下,酸性蓄電池電解液密度應不小于1250kg/m
3,工作電壓應不低于2V,電解液面應高于極板10~15mm;堿性蓄電池電解液面應高于極板6~12mm;鎘鎳電池工作電壓為1.2V;鋅銀電池工作電壓應為1.5V。
5.11 試驗規定
如發射試驗時,必須使用假天線負載,以最小輸出功率作短時間的功能試驗。
6 有關設備要求
6.1 航行設備
航行設備的配置和技術要求應符合《海船航行設備規范》的規定。
6.1.1 磁羅經應符合下列要求:
a. 剩余自差極限值:標準羅經應不超過±3°;操舵羅經不超過±5°;
b. 應有有效的羅經自差表和曲線圖。
6.1.2 陀螺羅經應符合下列要求:
a. 在φ60°N和φ60°S之間的地理范圍內,啟動后能在6h內穩定指北;
b. 主羅經與分羅經間誤差不超過±0.5°;
c. 安修士(Anschutz)系列陀螺羅經的支承液體密度、溫度和陀螺球的高低位置均應符合要求;
d. 單轉子或電控羅經溫度和噪聲均應處于正常狀態。
6.1.3 無線電測向儀應符合下列要求:
a. 啞點寬度不超過±1°;
b. 確認船首左、右30°范圍內使用2182kHz測取方位時,不存在方位模糊點;
c. 應有有效的無線電自差表和曲線圖。
6.1.4 雷達應符合下列要求:
a. 首向線顯示寬度不超過±0.5°,指零誤差小于1°;
b. 掃錨中心應與熒光屏中心一致;
c. 信號顯示清晰;
d. 抑止海浪干擾功能應良好;
e. 各固定距離檔的間距應相等;
f. 方位誤差不超過±1°;距離誤差應小于70m或為距標值的1.5%(取其大值)。
6.1.5 自動雷達標繪儀應符合下列要求:
a. 故障警報功能應正常;
b. 確認跟蹤及處理目標的能力(最少捕獲目標):自動應為20個;手動應為10個;
c. 確認其能提供目標的方位和距離、最近會遇點的距離和至最近會遇點的時間、目標的真航向和真速度等信息;
d. 確認其信息精度(95%概率值):真航向為2.5°~7.5°;真速度為0.8~1.2kn;
e. 確認其提供信息需要的時間:真運動為3min;相對運動為1min。
f. 確認各種操作警報(接近警戒區或被跟蹤目標失蹤等)功能應正常。
6.1.6 回聲測深儀應符合下列要求:
a. 零點顯示準確;
b. 回波清晰穩定;
c. 記錄準確。
6.1.7 計程儀應符合下列要求:
a. 確認主儀器與復示器間的速度偏差不超過±0.5kn;航程偏差不超過±0.1n mile;
b. 面板數字顯示和復零均應正常。
6.1.8 天文航海儀器應符合下列要求:
a. 石英天文鐘日差不超過±0.1s;
b. 機械天文鐘日差不超過±4.0s;
c. 六分儀誤差不超過±3'.0°。
6.2 信號設備
信號設備的配置和技術要求應符合《海船信號設備規范》的規定。
6.2.1 航行燈、號燈的開關及報警器功能應正常。
6.2.2 號型、號旗應備全。
6.2.3 音響信號應備全有效。
6.2.4 煙火求救信號應備全有效。
6.2.5 汽笛、氣笛和電笛使用情況應良好。
6.3 救生設備
救生設備的配置和技術要求應符合《海船救生設備規范》的規定。
6.3.1 救生艇應符合下列要求:
a. 確認其松放、回收應靈活可靠;
b. 確認其浮箱無裂紋破損;
c. 確認其屬具備全、完整;求救信號、藥品、食品、淡水應備全有效;
d. 艇殼應無破損。
6.3.2 氣脹式救生符應符合下列要求:
a. 確認其松放可靠;釋放器裝置正常;
b. 伐纜及氣瓶拉索系結正常;
c. 伐殼應無損;
d. 證書應有效。
6.3.3 救生衣、救生圈等設備應無霉爛、破損,附屬件應備全。
6.4 消防設備
消防設備配置和技術要求應符合《鋼質海船入級與建造規范》及其修改通報的有關規定和要求。
6.4.1 水滅火系統應符合下列要求:
a. 噴嘴齊全暢通,接閥靈活,接頭可靠,應備用國際通岸接頭;
b. 水龍帶應無霉爛破損;
c. 水栓水壓力符合規定。
6.4.2 固定式滅火系統應符合下列要求:
a. 啟動正常;
b. 管系及噴嘴暢通;
c. 容器中液化滅火劑液面降低值應在允許范圍內;
d. 泡沫藥物未過期。
6.4.3 可攜滅火器具應符合下列要求:
a. 噴嘴暢通;
b. 二氧化碳和鹵代烴液化滅火劑失重應在允許范圍內;
c. 泡沫藥物未過期;干粉滅火劑無結塊;
d. 氣瓶壓力應正常。
6.4.4 確認探火報警裝置功能應正常。
6.4.5 一切可移動消防用具及消防員裝備等均應完好,并分別貯放在規定處所。
6.4.6 防火門關啟正常;貨艙通風筒的防火擋板應靈活可靠。
6.5 系泊設備
6.5.1 錨、錨鏈、纜具等及其附屬件應無嚴重變形、無裂紋;磨耗應符合規定。
6.5.2 錨、錨鏈、纜具等及其附屬件收放應靈活可靠,制動須正常。
6.6 舵設備
6.6.1 舵葉應位于或平行于船舶縱中剖面。操舵儀和舵角指示器指示“零”位應一致。
6.6.2 確認舵實動角與駕駛臺舵角指示器偏差應符合表1規定:
表1 (°)

6.6.3 使用主操舵裝置時,舵自一舷35°轉至另一舷30°的時間不大于28s。
6.6.4 確認船舶在滿載吃水,航速為7kn或50%的最大營運航速(二者中取大值)的航行情況下,使用輔助操舵裝置時,舵自一舷15°轉至另一舷15°的時間應不大于60s。
6.6.5 確認主操舵裝置和輔助操舵裝置互相轉模的可靠性和迅速性;駕駛臺和舵機室的通信可靠。
6.6.6 確認最大舵角限止器及舵的制動器均處于良好技術狀態。
6.7 水密和排水系統
6.7.1 船體應符合下列要求:
a. 結構應無嚴重變形和脫焊;
b. 無裂縫和破口;
c. 首跳、尾跳、側跳、舷門和舷窗等收放、關啟靈活,水密性能均應良好。
6.7.2 艙口蓋的填料良好,螺栓活絡;通風筒、小艙口、水密門甲板測量管和空氣管水密性能均應良好;
6.7.3 確認污水溝(井)清潔,排水管道、蜂巢口暢通。
7 裝載要求
7.1 干舷和吃水
7.1.1 船舶的允許載量,在正浮狀態下,不得淹過證書核定的和當時季節、水域相適應的兩舷載重線標志。
7.1.2 客船和客貨船應遵照核準的旅客數載客,不得超員。
7.1.3 船體左右橫傾角最大不得超過1°。
7.1.4 集裝箱船離港時吃不差不得出現首縱傾。
7.1.5 壓載狀態下的吃水應符合下列要求:
a. 首吃水應滿足式(1):

b. 尾吃水能使車葉尖端淹設,并有足夠深度。
7.1.6 油船壓載航行時的壓載量應不少于總載重量的25%。
7.2 穩性
7.2.1 船舶穩性必須符合《海船穩性規范》或《散裝谷物的穩性報告書編制規定》。
7.2.2 船舶初穩性高度應滿足式(2):
h-△h≥h
c ………………………………(2)
式中:h——未經自由液面修正的計算初穩性高度值,m;
△ h——自由液面修正值,m;
h
c——臨界穩性高度值,m。
7.2.3 裝載散裝谷物船舶的穩性應符合下列要求:
7.2.3.1 不具有《許用傾側力矩表》的船舶應符合下列要求:
a. 初穩性高度不小于0.3m;
b. 由于谷物移動產生的橫傾角應不大于12°;
c. 在靜穩性曲線圖上,到達傾側力臂曲線和復原力臂曲線的縱坐標最大差值的橫傾角或40°角或“進水角”(取其小者)時,該二曲線間的剩余面積,不小于0.075m·rad。
7.2.3.2 具有《許用傾側力矩表》的船舶應符合式(3):
M
a>M
u …………………………………………(3)
式中:M
a——許用傾側力矩,tf·m;
M
u——實際計算總傾側力矩,tf·m。
7.2.3.3 油船壓載或半載開航應盡量減少自由液面引起的影響。
7.2.3.4 運輸高密度貨物時,應注意到因過高的初穩性高度產生劇烈搖擺而引起的后果。
7.3 防止貨物移動的措施
7.3.1 裝艙貨物必須塞緊裝足(指前后左右),如不符合要求時,應采取可靠措施。防止貨物移動。
7.3.2 裝載機械、車輛、集裝箱、卷鋼、笨重孤立等物件以及有關甲板上貨物均應采取可靠的綁緊、固定或防止移動的措施。
7.3.3 裝載散裝貨物必須采取下列平艙措施:
a. 自然靜止角不大于35°的散裝貨物或塊狀金屬貨物在貨物處所應盡可能裝滿,并進行合理平艙,使在艙口區域平整,不出現過寬、過陡的傾斜空間。
b. 自然靜止角大于35°的散裝貨物應裝在下部貨艙,并在船舷所有艙面以及其他必要地區進行平艙,以降低垛堆尖的高度。
7.3.4 裝載散裝谷物時,如不考慮因谷物移動所產生的有害橫傾影響,則谷物表面應平整成水平,并用袋裝谷物緊密地堆裝在整個谷物自由面上,堆裝高度不小于谷物自由面表面最大寬度的6.25%或1.2m,兩者取其大者。
7.3.5 裝載可液化貨物時,其運輸濕限應控制在中華人民共和國交通部規定的范圍內,超過該運輸濕限的可液化貨物應由特種船舶運輸。
7.4 裝運危險貨物
7.4.1 裝運危險貨物應符合海上危險貨物運輸規則的要求。
7.4.2 裝運危險貨物必須取得船舶檢驗局和海上安全監督局核管的有關證書。
7.4.3 裝運放射性物品其包裝、防污性能和放射劑量均應符合中華人民共和國的有關規定和要求。
8 油船補充要求
8.1 油船技術要求應符合船舶檢驗局的有關規定。
8.2 貨油艙呼吸閥技術狀態應良好,并應處在“自動”位置。
8.3 使用隋性氣體系統的船舶必須在任何時候都應保持正壓。貨油艙內任何部分氣體的含氧量(以體積計算)不超過8%。
8.4 油水分離器、油份濃度計和排油監控裝置應處于正常技術狀態。
8.5 檢查靜電及可燃氣體報警監控裝置功能應正常。
8.6 保持船體、甲板結構、管系及附件等焊接應緊固良好。
8.7 受載貨油品種應符合本船證書要求。
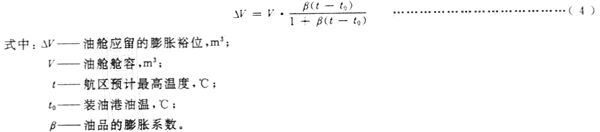
8.8 滿載裝油應保持每艙有足夠的膨脹裕位,其計算如式(4):

9 航線擬定要求
9.1 根據航次命令,謹慎選用有關的海圖和航海書籍等資料,并按航海通告和警告內容改正到開航之日。
9.2 根據航區氣象條件、最新航海資料擬定計劃航線,并清楚地畫在應用海圖上。
附加說明:
本標準由中華人民共和國交通部提出。
本標準由交通部標準計量委員會駕駛專業委員會歸口。
本標準參加編制單位:上海海運管理局、交通部標準計量研究所、上海海運學院、上海船舶運輸科學研究所、上海遠洋運輸公司。
本標準起草人洪振權、錢淡如、錢飛舟、張永根、趙偉。