前言
煤礦注漿防滅火技術應用至今仍未制定切實可行的標準規范,為使這項技術更加規范化,在總結經驗的基礎上制定出首部《煤礦注漿防滅火技術規范》,從而為注漿防滅火實際應用提供全煤炭行業統一的技術依據。
本標準在制定過程中,查閱了國內外有關的技術資料,重點查閱了國內煤礦注漿防滅火設計、實際應用的資料和論文,以及黃泥注漿代用材料(頁巖、矸石、粉煤灰、尾礦等)的有關科研成果及其推廣應用的技術報告等,按照《煤礦安全規程》(包括執行說明)的有關規定和《礦井防滅火規范》的相關內容一致的原則,編制本標準。
本標準由煤炭工業部科技教育司提出。
本標準由煤炭工業部煤礦安全標準化技術委員會歸口。
本標準起草單位:煤炭科學研究總院重慶分院。
本標準主要起草人:邵啟胤、王長元、徐承林。
本標準委托煤炭科學研究總院重慶分院負責解釋。
1 范圍
本標準規定了煤礦注漿防滅火工藝過程的技術要求。
本標準適用于礦井注漿防滅火的實施、設計與施工等。
2 引用標準
下列標準包含的條文,通過在本標準中引用而構成為本標準的條文。本標準出版時,所示版本均為有效。所有標準均會被修訂,使用本標準的各方應探討使用下列標準最新版本的可能性。
《煤礦安全規程》1992—10—22 中華人民共和國能源部
《礦井防滅火規范》(試行)1988—10 中華人民共和國煤炭工業部
3 定義
本標準采用下列定義。
3.1 注漿防滅火方法 method of fire fighting by grouting
是將注漿材料(黃土、頁巖、矸石、粉煤灰、尾礦等)細粒化后加水制備成漿,用水力輸送到煤礦井下注入需防滅火區域內,封堵漏風通道、包裹煤巖阻止氧化、冷卻煤巖溫度而預防或撲滅礦井火災的一項技術措施。
3.2 沉降速度 settling velocity
漿液的懸濁液液面在量筒中勻速下降的平均速度,mm/min。
3.3 臨界穩定時間 critical stable time
漿液的懸濁液液面在量筒中勻速下降的時間,min。
3.4 塑性指數 plastics index
表征注漿材料的可塑性的指數。
3.5 粘度系數 viscosity coefficient
表征漿液內部微粒間阻礙其相對流動的一種內摩擦特征的系數,Ps.S。
3.6 氧化鎂膠體混合物含量 amount of magnesium oxide colloid mixture
漿液中的固體材料所含極細散膠體部分的體積百分比含量,%。
3.7 含砂量 quantity of sand
注漿材料中,0.05~0.25mm粒徑的砂質成份的重量百分比,%。
3.8 氧化交叉溫度 cross temperature in oxidation
物質在氧化反應爐中氧化升溫曲線與反應爐加熱升溫線的交點的溫度值,℃。
3.9 恒溫吸氧量 amount of absorbed oxygen at constant temperature
單位重量物質在靜態恒溫吸氧實驗過程中的吸氧量(體積),mL/s。
3.10 土水比 ratio of clay to water
注漿防滅火漿液中的固體材料的自然堆積體積與水的體積之比。
3.11 漿液的制備 preparation of grout
將注漿材料(黃土、頁巖、矸石、粉煤灰、尾礦等)與水混合用水力或機械攪拌的方式形成漿液的制造方法。
3.12 注漿方法 ways of grouting
用鉆孔或專門設置的管路將漿液注入到防滅火區域的方法。
3.13 采空區氧化帶 oxidation zone in gob
在回采工作面采空區中的煤最易氧化自然發火的區段。
4 一般要求
4.1 采用注漿防滅火的礦井需備有完整的礦井開拓開采圖、通風系統圖及注漿管路系統圖。
4.2 新建礦井應有所有煤層、擬建水平和不同地質構造區域煤的自燃傾向性鑒定報告,以及開采同煤系煤層鄰近生產礦井的自然發火危險程度等級資料。
4.3 生產礦井應有礦井自然發火危險程度等級資料以及新開煤層、新水平和不同地質構造區域煤的自燃傾向性鑒定報告。
4.4 應有注漿材料來源、種類、數量及其有關性能的分析資料。
5 礦井注漿防滅火設計
5.1 礦井注漿防滅火設計的主要內容應包括:
——選用的注漿材料種類及其性能分析資料;
——主要注漿參數;
——漿液的制備方法;
——輸送漿液的管路系統及計算;
——注漿方法;
——礦井注漿防滅火效果考察;
——礦井注漿防滅火安全措施。
5.2 礦井注漿防滅火設計的工程實施由基建施工單位(基建礦井)或礦井(生產礦井)負責進行,設計部門派人到現場指導。
5.3 礦井注漿防滅火設計的.工程完工后由批準部門組織驗收。
6 注漿材料
6.1 注漿材料的種類:黃土、頁巖、礦井矸石、粉煤灰、尾礦等。
6.2 注漿材料成漿性能指標(0.1mm以下級別的樣品)應達到如下規定:
——沉降速度1~10mm/min;
——臨界穩定時間為20~60min;
——塑性指數7~14(粉煤灰可小于7);
——粘度系數(1~2)×10-3Pa.S;
——氧化鎂膠體混合物含量20%~35%;
——含砂量10%~30%(粉煤灰可小于10%)。
6.3 用矸石、粉煤灰、尾礦作注漿材料時,須進行氧化性能實驗,其指標應達到如下規定:
——氧化交叉溫度在300℃以上;
——恒溫吸氧量小于0.1mL/g;
——固定碳含量不大于8%,含硫量不大于1.5%,燒失減量不大于20%,發熱量不大于2000J/g。
6.4 頁巖、矸石必須經破碎、濕式球磨機球磨,其粒度要求在5mm以下,其中尢于0.5mm的粒料應占10%以下,小于0.1mm的粒料應占60%以上。
7 主要注漿參數
7.1 灌漿系數
防火灌漿系數為3%~12%,滅火灌漿系數相應加大。
采用粉煤灰漿防火時,灌漿系數為5%~15%。
7.2 土水比
礦井防滅火注漿漿液的土水比應為1:2~1:5。在回采工作面灑漿防火時,土水比應為1 :2~1 :3。
7.3 注漿量
礦井注漿量按式(1)計算:
…………………………………(1)
式中:QW——礦井注漿量,m3/h;
k——灌漿系數;
G——礦井日產煤量,t;
δ——土水比的倒數;
M——漿液制成率,取0.9;
rc——煤的密度,t/m3;
t——礦井日注漿時間,h。
8 制漿方法
8.1 黃泥漿的制漿方法
——水力制漿
一般采用人工取土或機械取土,將土疏松,經水力(水槍)沖刷混合成漿。當采用水槍直接取土時,其供水壓力、水流量和臺數應能滿足取土制漿的要求。水力制漿過程中應嚴格控制土水比。
——機械攪拌制漿
應建立漿池,黃土加水在漿池中攪拌成均勻漿液后即可輸入井下。漿池應設2個以上,一個作注漿用,另一個進行攪拌制漿,交替使用。漿池的容積應能保證注漿量的要求。
8.2 頁巖漿和矸石漿的制漿方法
頁巖漿和矸石漿的制漿方法相似,將頁巖和矸石破碎后,用濕式球磨機加水球磨成漿,進入輸漿管路。
8.3 粉煤灰漿的制漿方法
從電廠貯料場挖取粉煤灰,運到礦井地面制漿站,將粉煤灰用專門的攪拌筒加水攪拌成漿或用水槍沖攪成漿后直接進入輸漿管路。
8.4 尾礦漿的制漿方法
礦井洗選廠排出的尾礦直接輸送到漿池,經沉淀脫水后攪拌成漿進入輸漿管路。
8.5 注漿期間漿液流量和土水比的測定
在注漿期間,每班測定一次漿液的流量和土水比,流量測定可用電磁流量計或體積法,土水比測定可采用比重法。
9 輸漿管路
根據礦井地面的不同制漿方式,井下可采用集中或分區的輸漿管路系統。
在漿液流人輸漿管路前,應設置篩網過濾,網的孔徑宜為15~20mm。
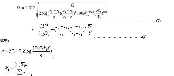
9.1 輸漿管路的管徑和水頭損失值按經驗式(2)、式(3)計算: 
D1——輸漿管路的臨界管徑(內徑),m;
Q——漿液流量,m3/s;
r1——水的密度,t/m3;
r2——漿液的密度,t/m3;
r3——注漿材料自然堆積密度,t/m3;
n——干擾沉降指數;
W1——加權平均自由沉降速度,m/s;
W2——顆粒分布曲線上相當于95%處粒徑的自由沉降速度,m/s;
i——每米管道長度的水頭損失值,m;
λ——水的摩阻系數;
V——漿液流速,m/s;
g——重力加速度,m/s2;
D2——實際選用的管徑(內徑),m,
d——注漿材料的當量直徑,mm;
η——水的運動粘滯系數,mm2/s;
Wi——注漿材料某一粒級平均自由沉降速度,m/s;
ai——注漿材料某一粒級的重量百分比。
9.2 由輸漿管路的總水頭損失值,確定是采用自流(靠自然壓頭)輸漿還是選用相適應(流量和壓力)的泥漿泵或注砂泵加壓輸漿。
9.3 輸漿管路系統應避免“兩頭高中間低”的布置方式,并盡量減少拐彎。
9.4 井下輸漿管路應緊靠井巷壁鋪設,固定牢固,并涂以防銹漆。
9.5 每次注漿后應立即用清水沖洗管路。
10 注漿方法
根據礦井的具體條件,可選擇一種或幾種注漿方法。
10.1 鉆孔注漿
按防滅火區的條件可采用兩種形式:
a)從井下巷道或鉆場向注漿區域打注漿鉆孔,鉆孔開孔孔徑應不小于108mm,終孔孔徑應不小于89mm,封孔要嚴密,鉆孔與輸漿管路的連接要牢固,并能承受最大的注漿壓力。
b)從地面直接向注漿區域打注漿鉆孔,鉆孔孔徑應不小于108mm,鉆孔內應全長度下套管。
10.2 埋管注漿
隨著回采工作面推進向采空區內埋設管道進行注漿,出漿口距工作面的距離應不小于15m。
10.3 密閉墻插管注漿
工作面回采后從密閉墻上方的注漿管向采空區注漿。此時,密閉墻的強度應滿足注漿的要求,注漿時應派專人監護,一旦發現有潰漿征兆時,應立即停止注漿。
10.4 灑漿
在回采工作面由輸漿管路上接出耐壓膠管,向采空區均勻地灑上一層漿液。灑漿時,漿液出口壓力應不大于0.3MPa。
10.5 注漿區的排水措施
注入采空區的漿液的脫水時間一般為7~15d,漿液中脫出的水一部分被圍巖吸收,一部分滯留在注漿區的下部空間。注漿區的排水措施主要采取兩種:
a)在注漿區下部的密閉墻的底部設置排水孔或溢水孔,在注漿后應隨時觀察這些密閉墻的排水量的變化情況。
b)在注漿區下部進行采掘前,必須對注漿區進行打鉆孔或采取其他措施進行泄水。
11 注漿防滅火的效果考察
11.1 注漿區溫度和氣體成分的檢測
11.1.1 派專人定期檢測注漿滅火區、注漿防火工作面及其采空區內的氣溫、煤溫和出水溫度。
11.1.2 具有自然發火危險程度的礦井均應建立完善的火災束管監測系統或地面氣體分析實驗室。氣體分析成份主要有:氧氣、甲烷、一氧化碳、二氧化碳。
采集氣體的地點為:
——回采工作面的回風巷、上隅角、采空區氧化帶回風側;
——通向火區的密閉墻內側或鉆孔內;
——其他需要的地點。
采用人工取樣在地面進行氣體分析時,應符合以下要求:
——取樣必須使用專用取樣袋或取樣器,取樣后應在5h內送到地面實驗室進行分析;
——注漿防火區域應定期對各取樣點取一次樣;
——注漿滅火封閉區域內每天取一次樣;
——回采工作面或其他地點在發火期間(未封閉的情況下)每班取一次樣。
11.2 注漿防滅火區的管理
11.2.1 建立防滅火注漿臺帳,主要內容應包括
——注漿區位置;
——鉆孔工程;
——注漿工程;
——防滅火密閉墻工程;
——氣體分析及溫度記錄;
——泥漿分布狀況等。
11.2.2 火區熄滅標準、注銷和啟封要求以及防火墻的管理,均應遵循《煤礦安全規程》和《礦井防滅火規范》的規定執行。
金屬非金屬礦山排土場安全生產規則
原地浸出鈾礦山安全規程
煤礦井下機電設備完好性要求
地下礦山用鋰離子動力電池 安全技術…
煤礦水害防治 第1部分:頂板水害防治
煤礦水害防治 第2部分:底板構造探查…
煤礦水害防治 第3部分:煤層底板井下…
煤礦水害防治 第4部分:地面區域治理
金屬非金屬礦山安全規程【作廢】
金屬非金屬礦山排土場安全生產規則
選煤廠安全規程【廢止】
地質勘探安全規程
煤礦用架空乘人裝置安全檢驗規范
金屬非金屬地下礦山安全規程
煤礦注漿防滅火技術規范
礦井壓風自救裝置技術條件